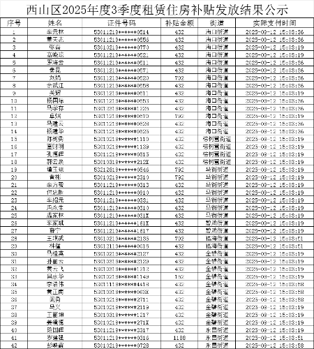
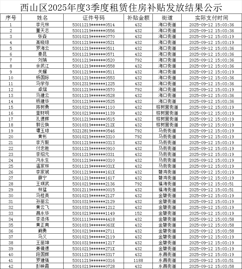
西山区2025年度3季度租赁住房补贴发放结果公示
发布时间:2025-09-23 14:09
字号:[
大
中
小
]
来源:昆明市西山区人民政府
编辑:杨艳莉
审核:邱淑莲
终审:尹丽


